Has elegido la edición de . Verás las noticias de esta portada en el módulo de ediciones locales de la home de elDiario.es.
Declara hoy ante la Justicia

Los cuadernos de Calvete: libretas, chats y planillas del operador de la ANDIS complican a los Milei

Parte de las libretas de Calvete que allanó la Justicia.
18 de noviembre de 2025 10:33 h

0

En el corazón de la trama de corrupción que sacude a la Agencia Nacional de Discapacidad (ANDIS) no solo aparece Diego Spagnuolo, íntimo de los Milei. Sino también la figura de Miguel Ángel Calvete emerge como un operador clave, un “director para-estatal” -como señala el expediente judicial- que sin cargo oficial manejaba a su antojo las contrataciones millonarias de medicamentos. Según la fiscalía, Calvete era el nexo entre un grupo reducido de droguerías –Profarma, Génesis, New Farma y Floresta– y funcionarios de la ANDIS, a quienes dirigía e incluso financiaba con dinero en efectivo.

La investigación judicial revela el modus operandi de Calvete a través de sus propios cuadernos manuscritos, chats de WhatsApp y documentos incautados. En sus anotaciones, detallaba movimientos de dinero, porcentajes de retorno y nombres de contactos dentro y fuera del Estado. Por esos registros este martes Calvete declarará ante la Justicia.

El operador que daba órdenes

Calvete, identificado como socio gerente de INDECOMM S.R.L. y vinculado a Profarma S.A., mantenía relaciones directas con los máximos responsables de la ANDIS. Según los reportes de la Dirección General de Investigaciones y Apoyo Tecnológico (DATIP), en sus chats con Daniel María Garbellini –director nacional de Acceso a los Servicios de Salud– Calvete exigía acelerar o frenar pagos a droguerías, e incluso sugería despidos “sin piedad”.

En una conversación recuperada, Calvete le escribe a Garbellini: “Fíjate PROFARMA”, a lo que este responde: “La semana próxima, ya está programada 1621 M”. Calvete insiste: “E Indecomm que estoy al horno”, y envía un sticker de Voldemort, en una clara alusión a Pablo Atchabahian, otro operador externo.

Los chats de Calvete con Gaerbellini, según el expediente de la fiscalía.

La conexión con los Milei

Los chats también revelan que Calvete y su círculo seguían de cerca los movimientos políticos. En enero de 2024, Mariano Caballi, integrante del “Grupo Museo” –un chat de WhatsApp donde coordinaban sus movimientos–, escribe: “La agencia la va a manejar Diego Spagnuolo, el abogado de Milei”. Y agrega: “Hay que llegar a Karina Milei, ella es quien define todo”.

Spagnuolo, designado director ejecutivo de la ANDIS en diciembre de 2023, mantenía contacto directo con Calvete. En sus cuadernos, Calvete lo anotaba como “pelado” y, según la fiscalía, le entregaba dinero en efectivo a través de su pareja, Guadalupe Muñoz.

Los chats sobre Karina Milei.

Estructura de pagos y lavado

Los cuadernos de Calvete detallan un complejo sistema de pagos y retornos. En una hoja, aparecen firmas como Artrobone, Expo Trauma, MED-EL y Profarma, con porcentajes asignados (70%, 30%, 1,7%), que la fiscalía interpreta como comisiones o repartos ilegales.

Su hija, Ornella Calvete –funcionaria del Ministerio de Economía–, también aparece en los chats. En septiembre de 2025, Calvete le escribe: “No hace falta... con el 3% para KM está perfecto”, en lo que sería una referencia a un porcentaje de retorno por negocios con la ANDIS.

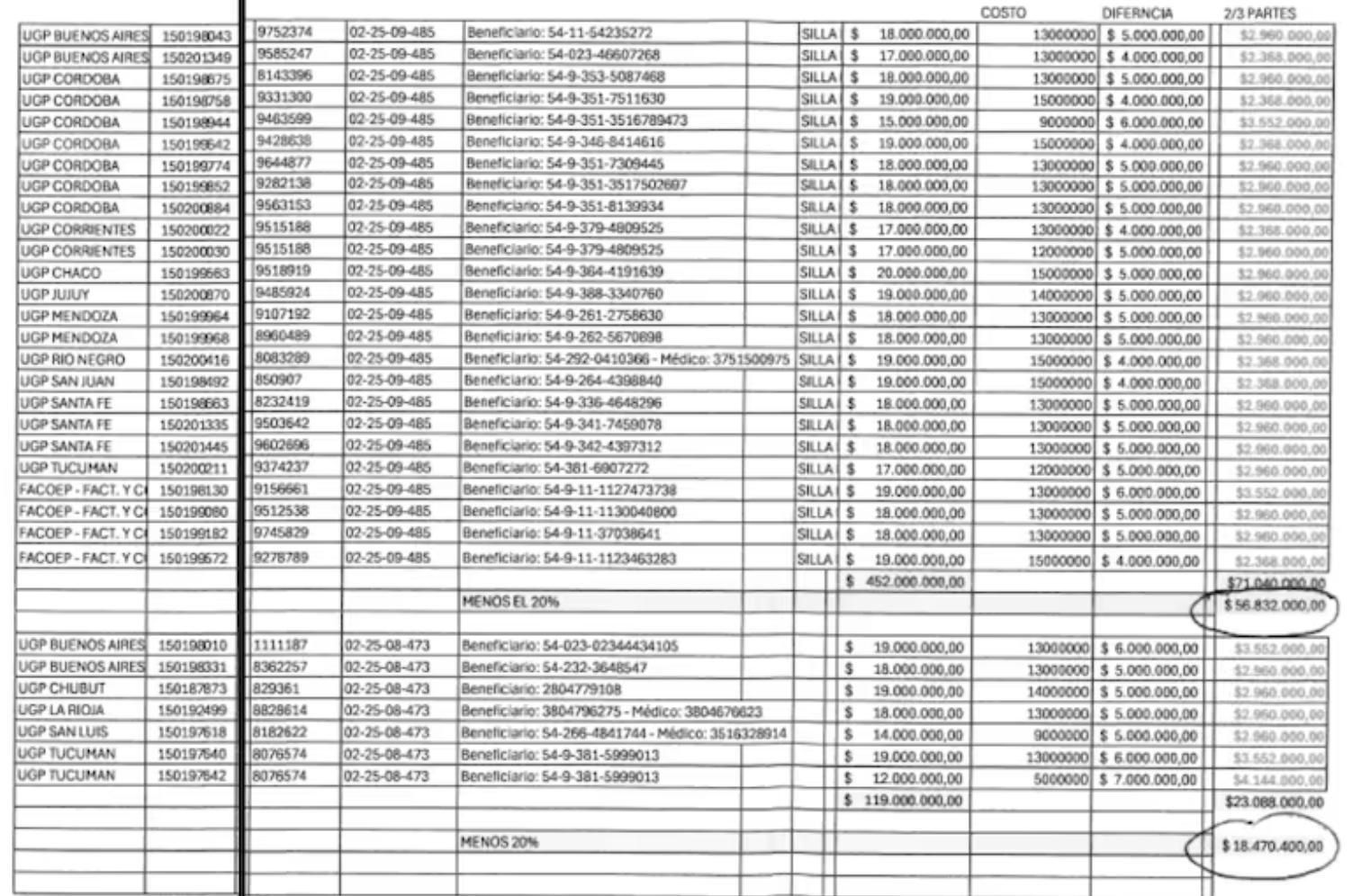
El empresario distinguía entre “Costos” (con dos columnas, la primera con una cifra superior a la segunda), “Diferencia” (que es el resultado de la resta entre la primera y la segunda columna de costos), y “2/3 Partes” (con una cifra que representaría los dos tercios de la columna anterior “Diferencia”). “Esto demuestra que Miguel Ángel Calvete, registraba diversos montos vinculados a prestaciones Pacbi , y entre ellos distribuciones de las diferencias entre los costos reales y los costos por lo que efectivamente se vendían”, sostuvo el fiscal Franco Picardi al enumera las pruebas.

Las planillas de Calvete.

Operadores internos: Lorena Di Giorno y “Pino” González

Dos funcionarios de la ANDIS respondían directamente a Calvete: Lorena Di Giorno y Eduardo Nelio “Pino” González. Di Giorno, según la fiscalía, recibía órdenes de Calvete para manipular el sistema SIIPFIS –plataforma de compras– y gestionar pagos. Incluso le facturó millones de pesos a INDECOMM y Profarma mientras trabajaba en el organismo.

González, por su parte, fue designado director en junio de 2025, pero según los chats ya operaba dentro de la agencia desde al menos un año antes. En sus conversaciones con Calvete, se refieren a Spagnuolo como “el pelado” y coordinan reuniones en bares y domicilios.

"El boludo del pelado", en referencia a Spagnuolo.

Movimientos del dinero

Parte del dinero ilícito era movilizado a través de Alan Pocoví, quien –según los chats– invertía en criptomonedas a través de la plataforma “NEBLOCKCHAIN”. También se identificaron transferencias a Sergio Mastropietro, vinculado a las firmas Baires Jets y Baires Fly, dedicadas al alquiler de aviones privados.

Los manuscritos

En uno de los cuadernos incautados a Calvete, las fuerzas de seguridad hallaron un registro con los nombres de las personas que integraban su círculo íntimo. La lista incluía desde empleados de la ANDIS hasta dueños y trabajadores de droguerías, junto a otros allegados que formaban parte del entramado corrupto.

Aunque el empresario solía valerse de iniciales como “ML” o “KM” para mantener el sigilo, en ocasiones se dejaba llevar y anotaba nombres completos. En una de las páginas, por ejemplo, se lee claramente: “Relación entre ex marido de Karen (Fred Machado)”. Los investigadores buscan determinar qué conexión podría existir entre Calvete y el empresario Fred Machado —detenido y extraditado a Estados Unidos— dentro de la trama de coimas en la ANDIS.

Ayer elDiarioAR reveló que Gustavo Balabanian, expareja de la diputada electa por La Libertad Avaza Karen Reichardt, figura en un giro de US$230.000 de Fred Machado en 2015.

La hoja de la libreta de Miguel Calvete, allanada en la causa Andis, que hace referencia a "el ex de Karen".

La caída

El 9 de octubre de 2025, allanamientos simultáneos en domicilios de Calvete, Spagnuolo, Garbellini y otros implicados permitieron incautar cuadernos, teléfonos y casi USD 700.000 en la casa de Ornella Calvete. Calvete, actualmente detenido, se negó a declarar.

La fiscalía lo acusa de asociación ilícita, cohecho, fraudes y lavado de activos. Su figura, central en la trama, podría comprometer no solo a exfuncionarios de la ANDIS, sino también a personas del entorno presidencial, según señalan los documentos judiciales.

MC

Etiquetas
stats